P H P   -   Personal Home Page

10.   muster verwenden

10.2  regulärer ausdruck

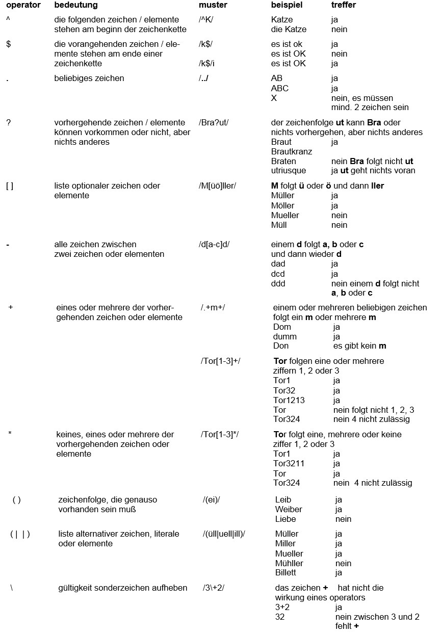
Ein regulärer ausdruck besteht aus literalen, d.h. beliebigen zeichenfolgen und/oder operatoren. Durch [ ] werden mehrere zeichen zu einem element zusammengefaßt.

operator wiederholung { }


zum untermenü


    IMPRESSUM  

    KONTAKT  

    PRIVAT  

    D O K U  


Dokumente
  H T M L  
  C S S  
  p h p
  My S Q L  
  JAVASCRIPT